mates para la eso

Profesor: Luis de la Hoz Cuesta

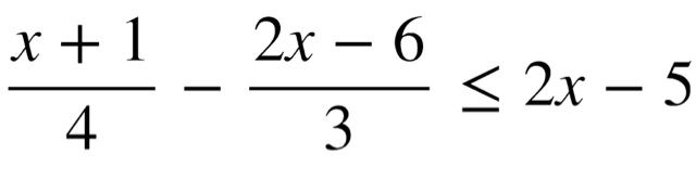
Resuelve la siguiente inecuación de primer grado



Entrada más reciente Entrada antigua Inicio

índice

  • Áreas y volúmenes primero (16)
  • Combinatoria cuarto (6)
  • Cuadriláteros primero (5)
  • Divisibilidad primero (7)
  • Ecuaciones logarítmicas y exponenciales cuarto (24)
  • Ecuaciones primero (6)
  • Ecuaciones tercero (24)
  • Estadística primero (3)
  • Expresiones radicales tercero (12)
  • Fracciones algebraicas tercero (14)
  • Fracciones primero (11)
  • Fracciones tercero (9)
  • Funciones cuarto (24)
  • Funciones primero (4)
  • Funciones tercero (12)
  • Geometría analítica cuarto (42)
  • Geometría tercero (23)
  • Inecuaciones cuarto (19)
  • Lenguaje algebraico primero (6)
  • Límite de sucesiones cuarto (7)
  • Logaritmos cuarto (9)
  • Números decimales primero (5)
  • Números enteros primero (5)
  • Números enteros tercero (4)
  • Números naturales primero (3)
  • Polígonos regulares y circunferencia primero (4)
  • Polinomios tercero (28)
  • Potencias tercero (14)
  • Potencias y raíz cuadrada primero (5)
  • Probabilidad primero (3)
  • Probabilidad tercero (4)
  • Proporcionalidad y porcentajes primero (3)
  • Radicales tercero (18)
  • Rectas y ángulos primero (2)
  • Sistemas de ecuaciones tercero (16)
  • Sucesiones y progresiones tercero (23)
  • Traslaciones giros y simetría tercero (12)
  • Triángulos primero (4)
  • Trigonometría cuarto (49)
Imágenes del tema: gaffera. Con la tecnología de Blogger.